编号: 20240325
经初步审定,我机构拟对下列宅基地使用权及房屋所有权予以首次登记,根据《不动产登记暂行条例实施细则》《不动产登记操作规范》(试行)等相关规定,现予以公告。如有异议,请自本公告发布之日起15个工作日内将异议书面材料送达我机构。逾期无人提出异议或者异议不成立的,我机构将依据相关规定予以登记。
异议书面材料送达地址:宝鸡市凤翔不动产登记中心(宝鸡市凤翔区雍兴路8号)
联系电话:0917-7213598
联 系 人:黄小红
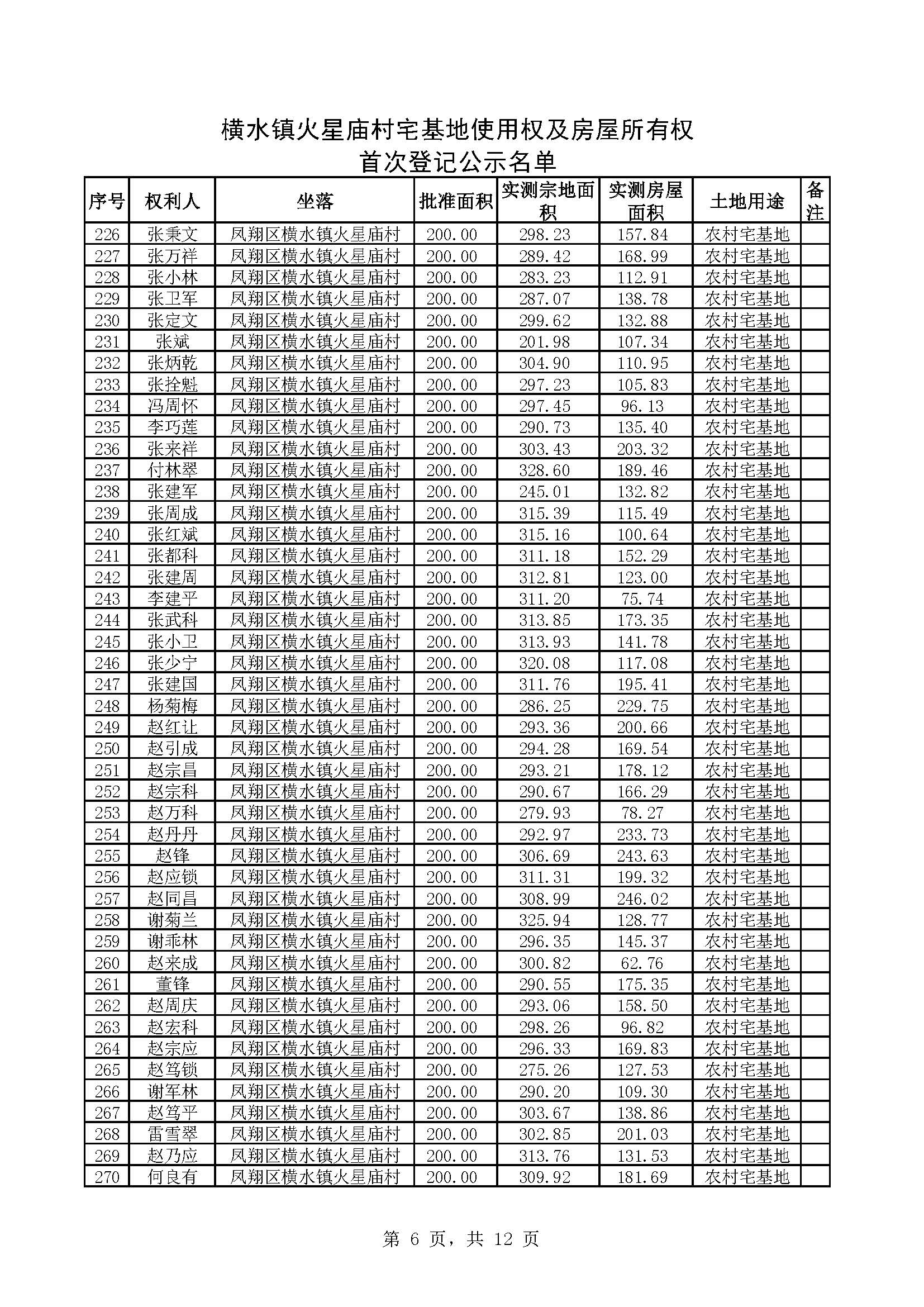
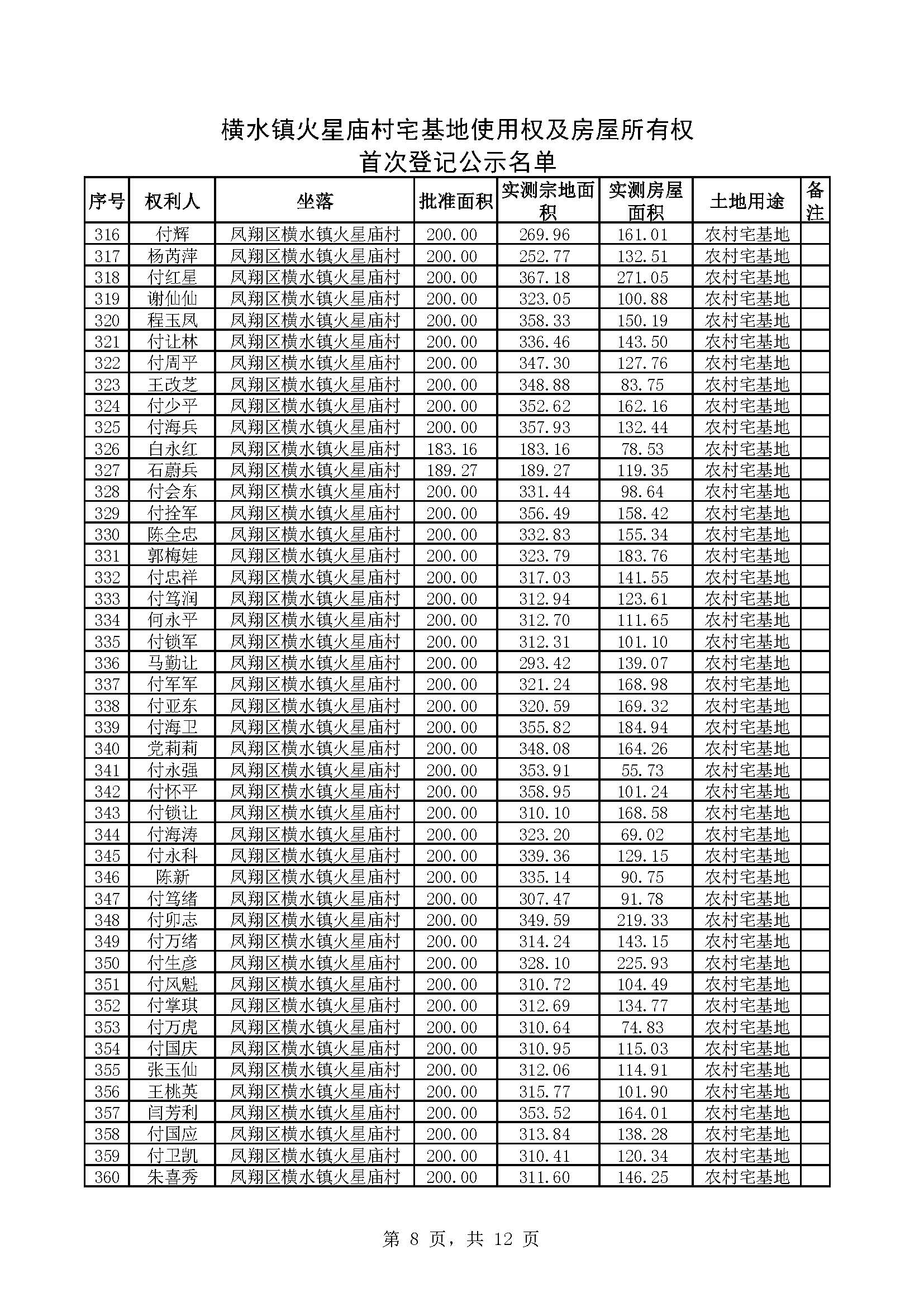
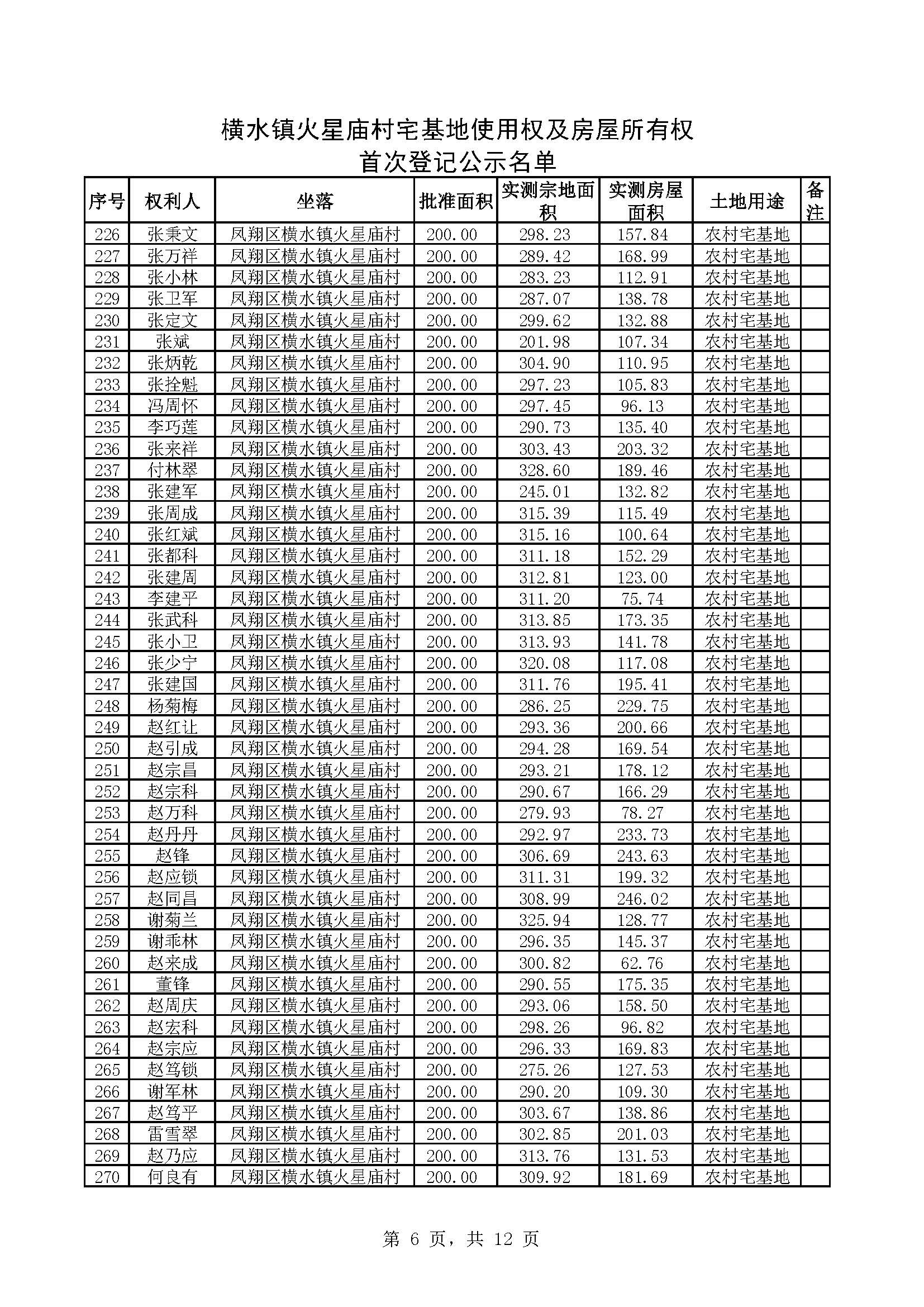
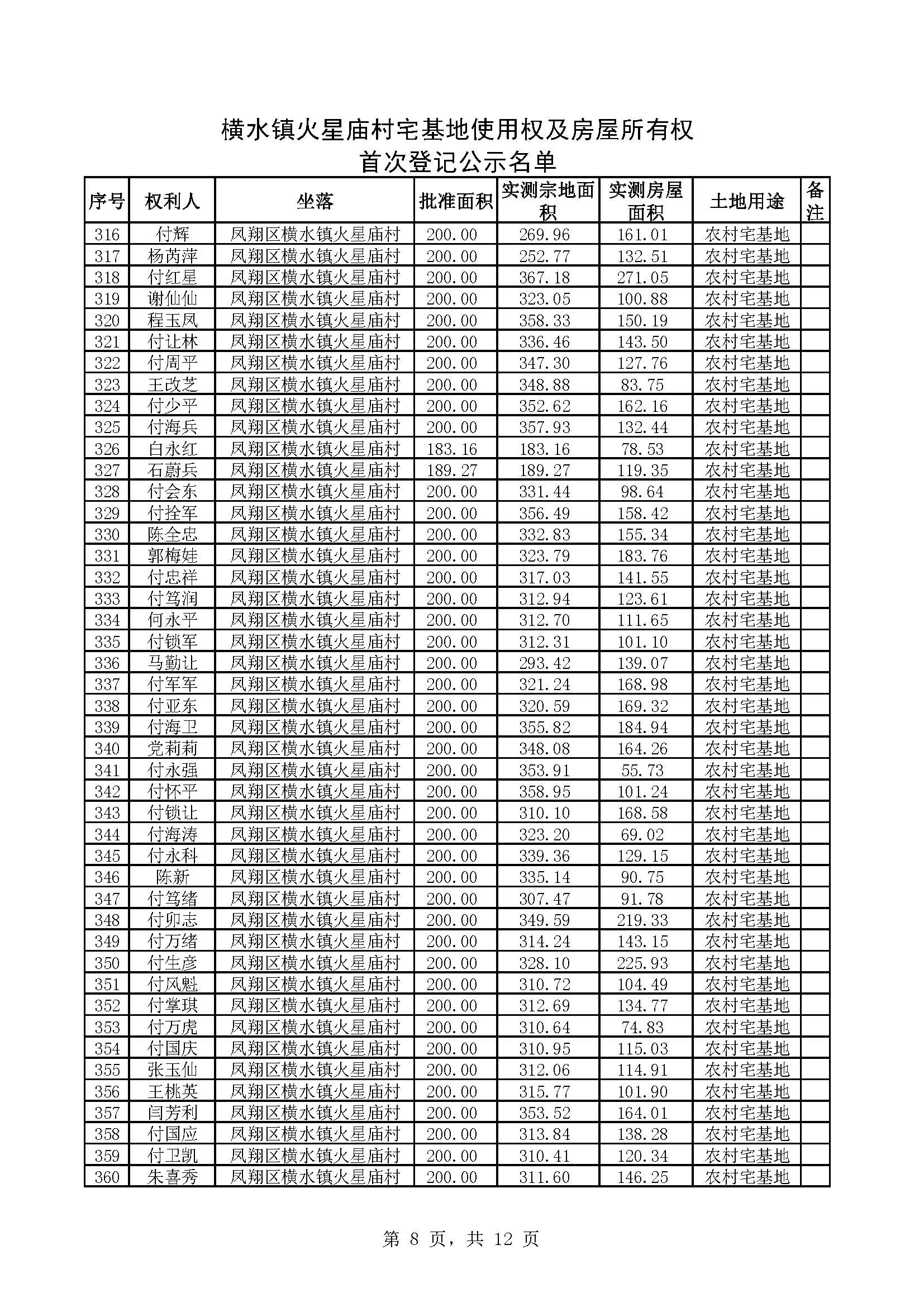
附件:横水镇火星庙村宅基地使用权及房屋所有权首次登记公示名单
宝鸡市自然资源和规划局凤翔分局
2024年11 月01 日












陕公网安备61032202000120号
