当前位置:
首页 > 新闻 > 专题专栏 > 不动产登记

不动产首次登记公告(小沙凹村)

信息来源: 市自然资源和规划局凤翔分局 发布日期:2024-11-05 14:50

编号:20240332

经初步审定,我机构拟对下列宅基地使用权及房屋所有权予以首次登记,根据《不动产登记暂行条例实施细则》《不动产登记操作规范》(试行)等相关规定,现予以公告。如有异议,请自本公告发布之日起15个工作日内将异议书面材料送达我机构。逾期无人提出异议或者异议不成立的,我机构将依据相关规定予以登记。

异议书面材料送达地址:宝鸡市凤翔不动产登记中心(宝鸡市凤翔区雍兴路8号)

联系电话:0917-7213598

联 系 人:黄小红

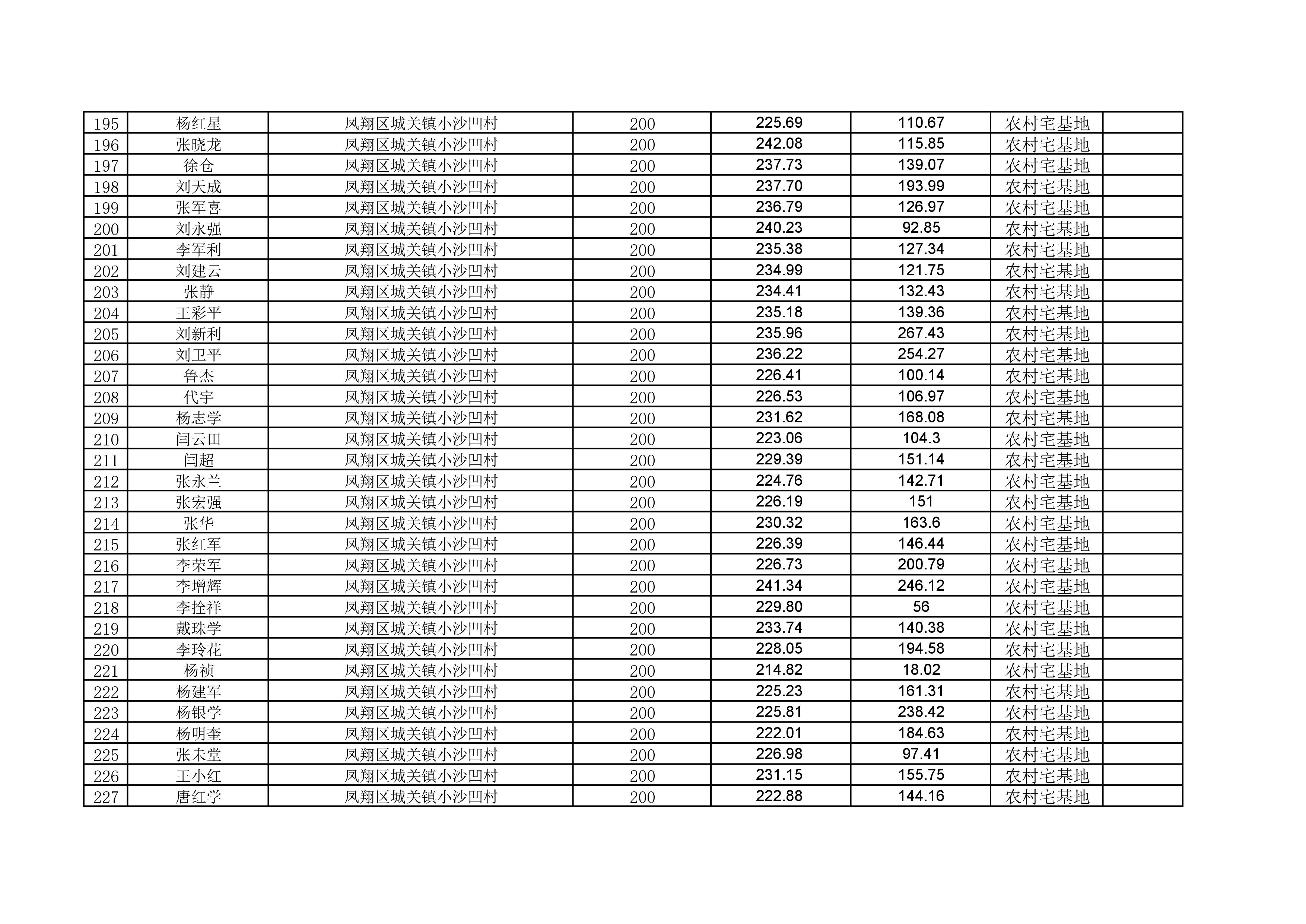
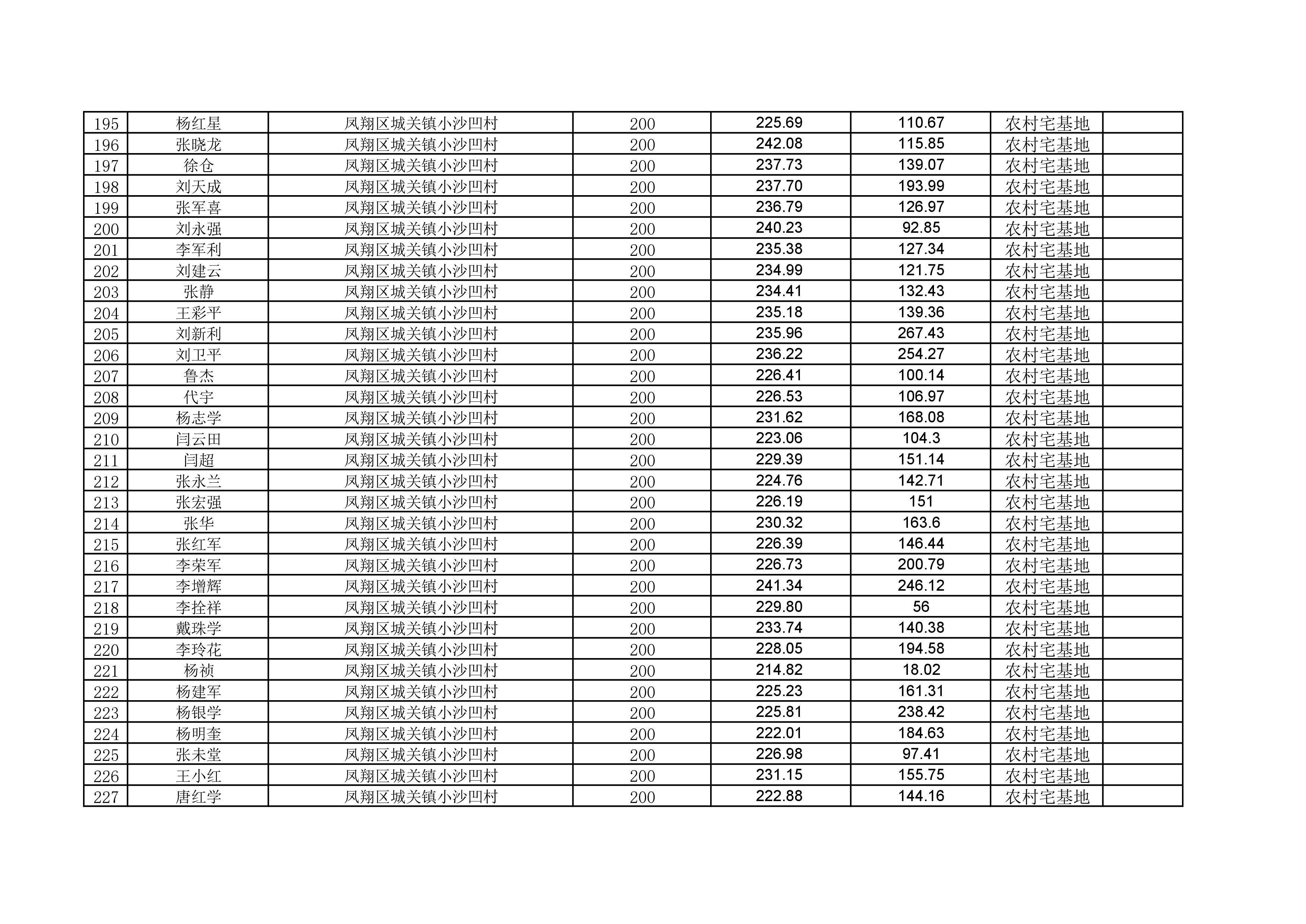
附件:城关镇小沙凹村宅基地使用权及房屋所有权首次登记公示名单

                     宝鸡市自然资源和规划局凤翔分局

                                 2024年11月4日       

 

打印 关闭

主办:宝鸡市凤翔区人民政府办公室 陕ICP备15013079号-1 网站标识码:6103220011

陕公网安备61032202000120号 本网站建议使用IE8.0版本以上浏览器访问

宝鸡市凤翔区统计违纪违法举报电话0917-7212377

主办:宝鸡市凤翔区人民政府办公室